Admission Open 2025-26 at Kalika Podar Learn School
CBSE School with Modern Labs & Sports Facilities
Achievements: Our Students Excel in Academics & Sports
Upcoming Events: Science Fair, Annual Day & Sports Week
Kalika Podar Learn School, District -Ahilyanagar
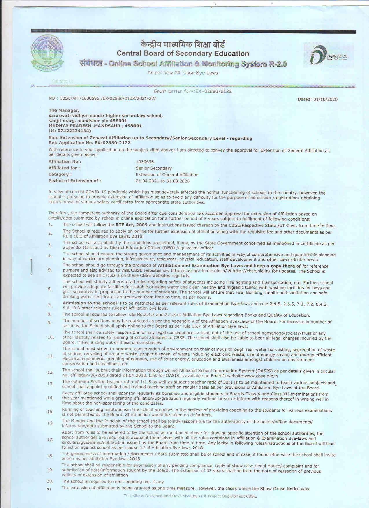
Affiliated to CBSE - Affiliation No. 1030696
Mandatory Public Disclosure
Kalika Podar
Learn School
Home
About
About us
School Information
Principal Message
Chairman Message
Manager Message
Secretary Message
Vision & Mission
About Organization
School Song
Why Podar
The Right Curriculum
Student’s Journey
Podar Innovation Center
Curriculum and Content
Thematic Learning
Right Faculty
The Right Environment
School Infrastructure
Edutech
Our Labs
Transport Policy
The Right Approach
The Right Skills
Facilities
Library
Transportation
Music Room
Computer Lab
Chemistry Lab
Physics Lab
Bio Lab
Sports
Hostel
Activities
School Activities
Club Activities
Co-Curricular Activities
Tour & Trips
Academics
Acheivements
Academic Calender
Time table
Alumni
School Staff
Student & Parent Corner
Carrer Counseling
Circular Notices
Fee Structure
TC Certificate
School Uniform
School Books
News
News
Carrer
Vacancies
Apply Online
Gallery
Photo Gallery
literature Gallery
Video Gallery
Contact
Contact us
Location
Mandatory Public Disclosure
School Information
Home
School Information
Affiliation Documents
Here are the official CBSE affiliation documents for reference.
Document Name
Action
CBSE Affiliation Certificate
View
Affiliation Copy 1
View
Affiliation Copy 2
View
Affiliation Copy 2021-2026
View
Affiliation Copy 2021-2026 (Updated)
View